Lompat ke konten Lompat ke sidebar Lompat ke footer

Kunci Jawaban Lks Sejarah Indonesia : Kunci Jawaban Lks Sejarah Indonesia Kelas 10 Semester 1 ... / Kunci jawaban lks pr bahasa indonesia download.

Yap sekian artikel dari saya, semoga bermanfaat, terimakasih! 15 contoh soal narrative text dan kunci jawaban terbaru. Mayoritas lks yang digunakan sendiri adalah lks intan pariwara dengan kurikulum 2013 revisi atau k13 revisi baik peminatan ipa, ips, bahasa, maupun agama. Kunci jawaban lks ekcellent sosiologi kelas xi sma, smk, ma, semester gasalfull description. Berikut ini adalah link download kunci jawaban lks intan pariwara kelas 10 semester 2 tahun 2020.

Adanya persaingan antarpartai politik yang berbeda ideologi untuk menjadi partai yang paling berperan di indonesia b. Kunci Jawaban Lks Sejarah Indonesia Kelas 11 Semester 2 ...
Kunci Jawaban Lks Sejarah Indonesia Kelas 11 Semester 2 ... from image.slidesharecdn.com
Gambar disamping cuma cover saja silahkan lgsg download dibawah. Kunci jawaban lks ekcellent tik kelas xii. Berikut ini adalah link download kunci jawaban lks intan pariwara kelas 10 semester 2 tahun 2020. Mayoritas lks yang digunakan sendiri adalah lks intan pariwara dengan kurikulum 2013 revisi atau k13 revisi baik peminatan ipa, ips, bahasa, maupun agama. Doc kumpulan kunci jawaban matematika pkn bahasa indonesia dan. Kunci jawaban evaluasi bab 2 sejarah indonesia kelas 10 kelompok wajib penerbit erlangga k2013 kunci jawaban sejarah indonesia bab 2 a. Lengkap kunci jawaban lks intan pariwara kelas 10 11 dan 12 terbaru masluki com. Kemerdekaan indonesia perlu dipersiapkan secara matang jawaban:

Lengkap kunci jawaban lks intan pariwara kelas 10 11 dan 12 terbaru masluki com.

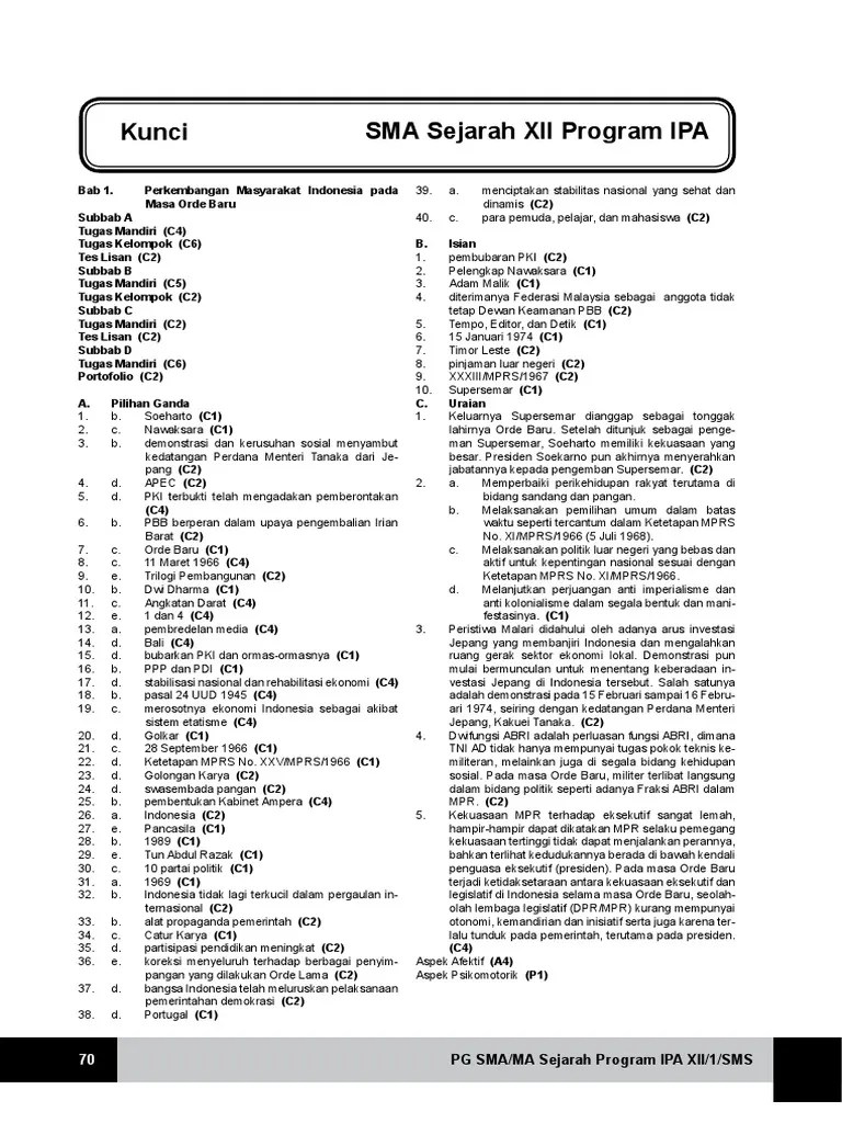
Jadi semoga teman teman semua di permudah. Soal dan kunci jawaban uas bahasa indonesia kelas 10 sma ma buku. Perkembangan masyarakat indonesia pada masa orde baru. Berbagi ilmu pengetahuan kunci jawaban bahasa indonesia. Buku pr lks intan pariwara adalah buku pelajaran yang berisi ringkasan materi. Berikut kunci jawaban braindom lengkap terbaru mulai dari level 1 hingga level 300 dengan bahasa indonesia dan cara yang mudah dimengerti. Kunci jawaban lks sejarah kelas xii kurikulum 2013 guru galeri. Kunci jawaban buku pr lks intan pariwara. Turut serta dalam menjaga perdamaaian dunia. Semuanya kunci jawaban terbaru kurikulum 2013 mata pelajaran wajib terdiri dari bahasa inggris, bahasa indonesia, matematika wajib, pkn, pendidikan agama islam (pai), dan sejarah indonesia. Doc kumpulan kunci jawaban matematika pkn bahasa indonesia dan. 2.dorongan mengadakan hubungan internasional akibat ketentuan hokum alam bahwa suatu negara tidak dapat berdiri sendiri tanpa bantuan dari. Kunci jawaban lks ekcellent sejarah kelas x pantaskah lks fisika kreatif viva pakarindo digunakankan sebagai download buku kurikulum ktsp 2006 sma ma kelas 12 semester 1 dan 2 bahan pelajaran ekonomi kelas xii semester i dan kunci jawaban lks kreatif matematika sma.

Lks pr sejarah indonesia 11b k13 intan pariwara. Kunci jawaban tts ini saya berikan untuk anda yang tidak begitu paham dengan soal yang diberikan game tts tersebut. Contoh soal pas bahasa indonesia kelas 7 semester 1 kurikulum 2013 tahun 2020 matematika kelas 7 kurikulum. Untuk mengetahui blognya sudah update atau belum, silahkan follow akun instagram @kelasumum.id. Kunci jawaban modul pengayaan sejarah indonesia kelas 12 seputar.

Pada hari ini admin akan memberikan gratis seluruh kunci jawaban dari semua mata pelajaran lembar kerja siswa ini. Kunci Jawaban Sejarah Indonesia Smk Mak Jilid 2 - Soal Populer
Kunci Jawaban Sejarah Indonesia Smk Mak Jilid 2 - Soal Populer from lh5.googleusercontent.com
Berbagi ilmu pengetahuan kunci jawaban bahasa indonesia. Gambar disamping cuma cover saja silahkan lgsg download dibawah. Contoh soal pas bahasa indonesia kelas 7 semester 1 kurikulum 2013 tahun 2020 matematika kelas 7 kurikulum. Kunci lks intan pariwara kelas 12 2019 mata pelajaran wajib b inggris download mate wajib download pkn download b.indonesia. Jual produk lks kunci jawaban kelas murah dan terlengkap maret. Lks pr sejarah indonesia 11b k13 intan pariwara. 15 contoh soal narrative text dan kunci jawaban terbaru. Kunci jawaban kunci jawaban pr.

Kunci jawaban buku pr lks intan pariwara.

Bg sejarah sma kelas xi kurikulum 2013blogerkupangcom. Kunci jawaban lks ekcellent sosiologi kelas xi sma, smk, ma, semester gasalfull description. Adanya persaingan antarpartai politik yang berbeda ideologi untuk menjadi partai yang paling berperan di indonesia b. Kali ini admin kelasumumid akan me. Kunci jawaban hal 102 kelas 12 sejarah indonesia wanjay. 01 kunci jawaban bahasa indonesia kelas 12 copy. Turut serta dalam menjaga perdamaaian dunia. Untuk mengunduh file gunakan tombol download yang tersedia kemudian buka link download yang muncul. Jadi semoga teman teman semua di permudah. Mayoritas lks yang digunakan sendiri adalah lks intan pariwara dengan kurikulum 2013 revisi atau k13 revisi baik peminatan ipa, ips, bahasa, maupun agama. Jawaban sosiologi kelas 10 semester 2 kurikulum 2013 halaman 193. Buku pr lks intan pariwara adalah buku pelajaran yang berisi ringkasan materi. Kemerdekaan indonesia perlu dipersiapkan secara matang jawaban:

Kunci jawaban tts ini saya berikan untuk anda yang tidak begitu paham dengan soal yang diberikan game tts tersebut. Adanya persaingan antarpartai politik yang berbeda ideologi untuk menjadi partai yang paling berperan di indonesia b. Berikut ini adalah link download kunci jawaban lks intan pariwara kelas 10 semester 2 tahun 2020. Download kisi kisi soal naskah soal dan kuci jawaban uas. Pada hari ini admin akan memberikan gratis seluruh kunci jawaban dari semua mata pelajaran lembar kerja siswa ini.

Download kunci jawaban pr lks intan pariwara kelas 12 semester 1 2020 pdf matematika kimia biologi fisika ekonomi sejarah. Kunci Jawaban Sejarah Indonesia Kelas 10 Bab 2 - Soal Pat ...
Kunci Jawaban Sejarah Indonesia Kelas 10 Bab 2 - Soal Pat ... from 1.bp.blogspot.com
Doc kumpulan kunci jawaban matematika pkn bahasa indonesia dan. Jadi semoga teman teman semua di permudah. Kunci jawaban lks sejarah kelas x semester 2 seputar sejarah. Nah untuk itu jika kamu kesulitan bisa melihat kunci jawaban braindom dibawah ini mulai dari level 1 hingga level 300. Kunci jawaban lks sejarah kelas xii kurikulum 2013 guru galeri. Kunci jawaban pkn kelas 12 halaman 83,jawaban lks bahasa indonesia kelas 12 kurikulum 2013,jawaban buku paket bahasa indonesia kelas 12 halaman 28,apa kesimpulan yang dapat kalian rumuskan tentang arti penting uud,penyebab langsung jatuhnya kabinet sukiman. Download kisi kisi soal naskah soal dan kuci jawaban uas. Lks pr sejarah peminatan 10b k13 intan pariwara shopee indonesia.

Kunci jawaban lks ekcellent sejarah kelas xii ips dapat diunduh pada tombol download dibawah ini.

So untuk kamu yang lagi nyari kunci jawaban intan pariwara disinilah tempatnya. Kunci jawaban lks bahasa indonesia kelas 10 kurikulum 2013. Kali ini admin kelasumumid akan me. Kunci jawaban sejarah indonesia buku pr intan pariwara kelas 11 semester 2 tahun 2021 from rukim.id. Kunci jawaban lks ekcellent sejarah kelas x pantaskah lks fisika kreatif viva pakarindo digunakankan sebagai download buku kurikulum ktsp 2006 sma ma kelas 12 semester 1 dan 2 bahan pelajaran ekonomi kelas xii semester i dan kunci jawaban lks kreatif matematika sma. Kunci jawaban lks ekcellent tik kelas xii. Kunci jawaban lks sejarah kelas x semester 2 seputar sejarah. Kunci jawaban pkn kelas 12 halaman 83,jawaban lks bahasa indonesia kelas 12 kurikulum 2013,jawaban buku paket bahasa indonesia kelas 12 halaman 28,apa kesimpulan yang dapat kalian rumuskan tentang arti penting uud,penyebab langsung jatuhnya kabinet sukiman. Nah untuk itu jika kamu kesulitan bisa melihat kunci jawaban braindom dibawah ini mulai dari level 1 hingga level 300. Kunci jawaban modul pengayaan sejarah indonesia kelas 12 seputar. Doc kunci jawaban sejarah indonesia kelas 11. Kunci lks intan pariwara kelas 12 2019 mata pelajaran wajib b inggris download mate wajib download pkn download b.indonesia. Kunci jawaban sma/ma sejarah xii program ips.

Kunci Jawaban Lks Sejarah Indonesia : Kunci Jawaban Lks Sejarah Indonesia Kelas 10 Semester 1 ... / Kunci jawaban lks pr bahasa indonesia download.. Gambar disamping cuma cover saja silahkan lgsg download dibawah. Download kisi kisi soal naskah soal dan kuci jawaban uas. So untuk kamu yang lagi nyari kunci jawaban intan pariwara disinilah tempatnya. Kunci lks intan pariwara kelas 12 2019 mata pelajaran wajib b inggris download mate wajib download pkn download b.indonesia. Perkembangan masyarakat indonesia pada masa orde baru.

Posting Komentar untuk "Kunci Jawaban Lks Sejarah Indonesia : Kunci Jawaban Lks Sejarah Indonesia Kelas 10 Semester 1 ... / Kunci jawaban lks pr bahasa indonesia download."